№1142 ГДЗ Рымкевич 10-11 класс (Физика)
Решение #1
Решение #2
Решение #3

Рассмотрим вариант решения задания из учебника Рымкевич 10-11 класс, Дрофа:
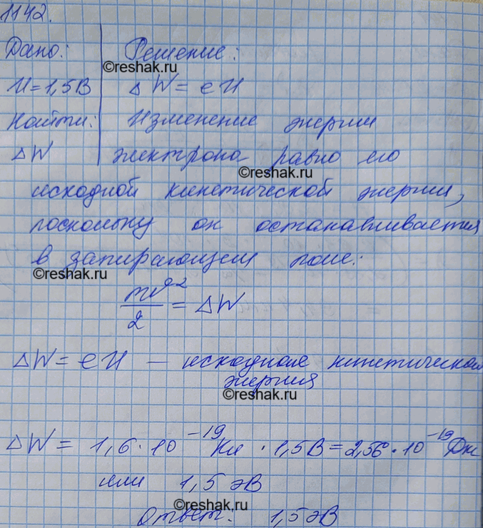
Найти максимальную кинетическую энергию фотоэлектронов, вырванных с катода К (рис. 124), если запирающее напряжение равно 1,5 В.
*размещая тексты в комментариях ниже, вы автоматически соглашаетесь с пользовательским соглашением