№321 ГДЗ Рымкевич 10-11 класс (Физика)
Решение #1
Решение #2
Решение #3

Рассмотрим вариант решения задания из учебника Рымкевич 10-11 класс, Дрофа:
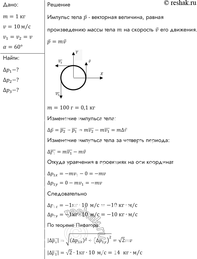
Мяч массой 100 г, летевший со скоростью 20 м/с, ударился о горизонтальную плоскость. Угол падения (угол между направлением скорости и перпендикуляром к плоскости) равен 60°. Найти изменение импульса мяча, если удар абсолютно упругий, а угол отражения равен углу падения.
*размещая тексты в комментариях ниже, вы автоматически соглашаетесь с пользовательским соглашением