Упр.499 ГДЗ Атанасян 10-11 класс по геометрии (Геометрия)
Решение #1
Решение #2

Рассмотрим вариант решения задания из учебника Атанасян, Бутузов 11 класс, Просвещение:
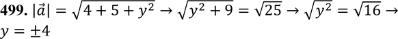
499 Длина вектора a{x; у; z} равна 5. Найдите ординату вектора а, если x = 2, z = -4b.
*размещая тексты в комментариях ниже, вы автоматически соглашаетесь с пользовательским соглашением