Упр.512 ГДЗ Атанасян 10-11 класс по геометрии (Геометрия)
Решение #1
Решение #2

Рассмотрим вариант решения задания из учебника Атанасян, Бутузов 11 класс, Просвещение:
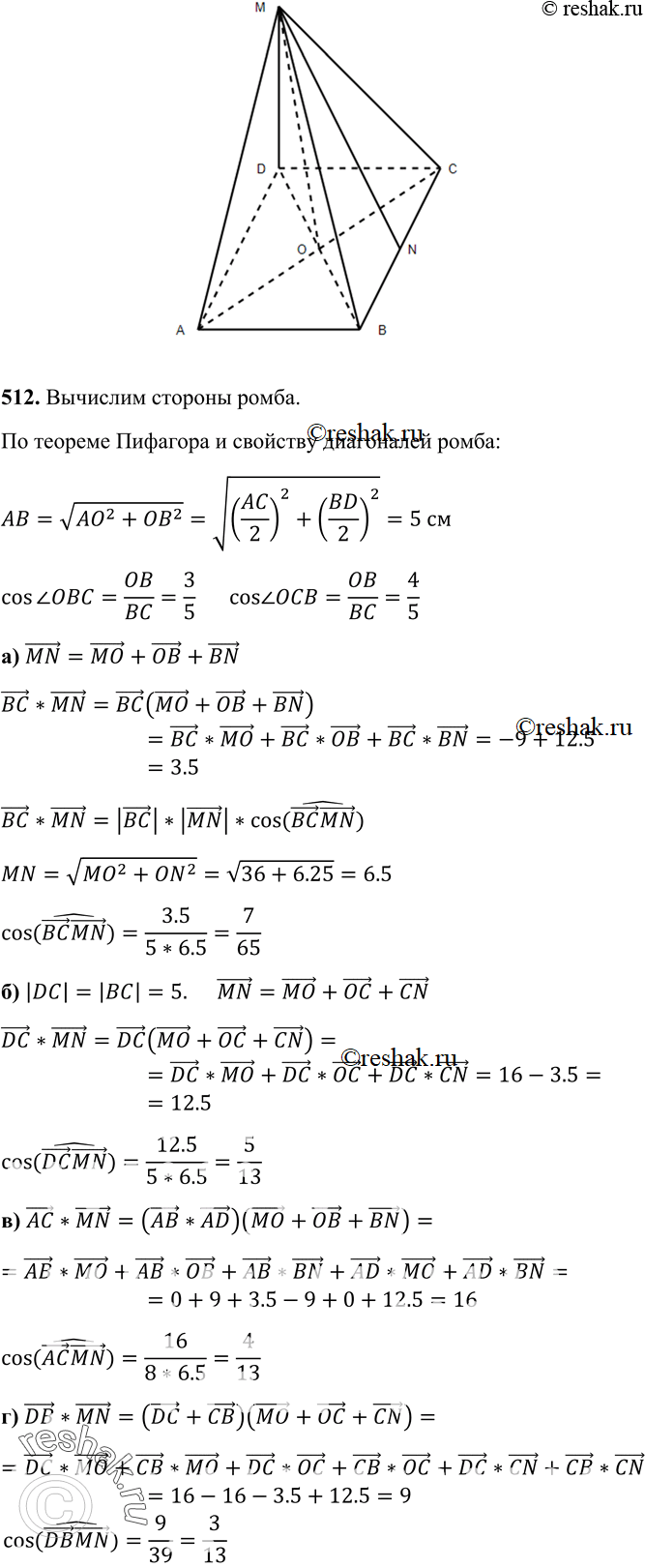
512 Проекция точки M на плоскость ромба ABCD совпадает с точкой O пересечения его диагоналей. Точка N — середина стороны ВС, AC = 8, DB = MO = 6. Вычислите косинус угла между прямой MN и прямой: а) ВС; б) DC; в) AC; г) DB.
*размещая тексты в комментариях ниже, вы автоматически соглашаетесь с пользовательским соглашением