Упр.578 ГДЗ Атанасян 10-11 класс по геометрии (Геометрия)

Решение #1

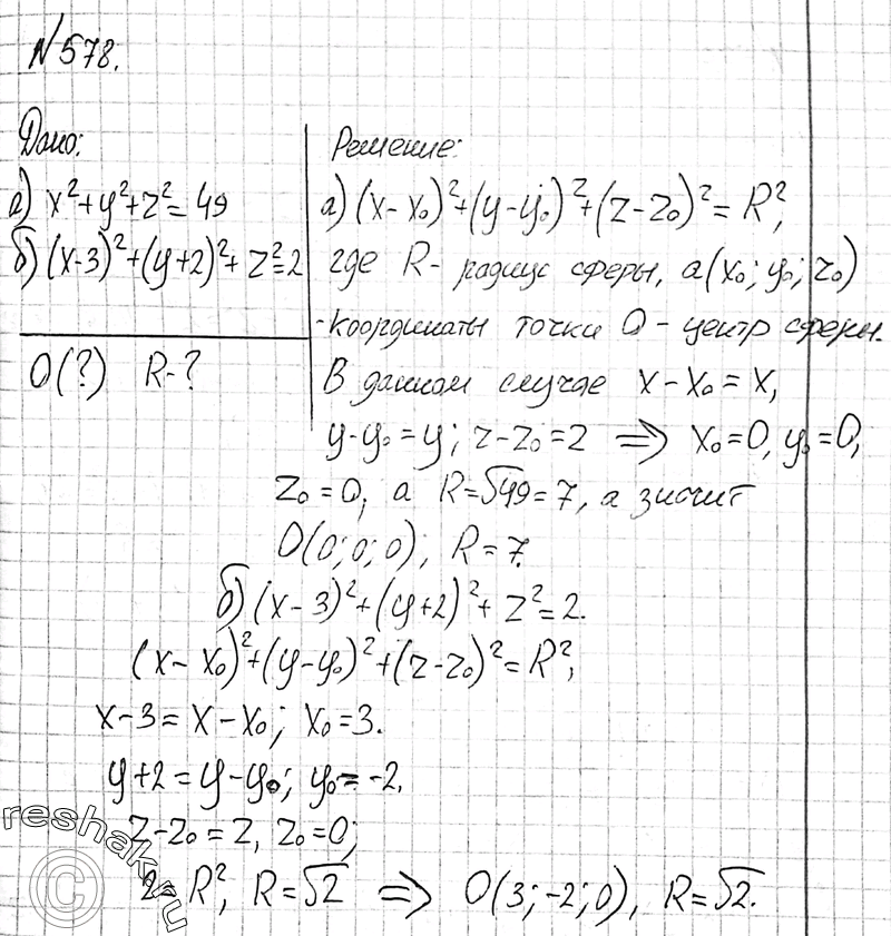
Изображение 578 Найдите координаты центра и радиус сферы, заданной уравнением: а) x2 + у2 + 22 = 49; б) (x - 3)2 + (у + 2)2 + 22 =...

Рассмотрим вариант решения задания из учебника Атанасян, Бутузов 11 класс, Просвещение:
578 Найдите координаты центра и радиус сферы, заданной уравнением: а) x2 + у2 + 22 = 49; б) (x - 3)2 + (у + 2)2 + 22 = 2.
*Цитирирование задания со ссылкой на учебник производится исключительно в учебных целях для лучшего понимания разбора решения задания.
*размещая тексты в комментариях ниже, вы автоматически соглашаетесь с пользовательским соглашением