Упр.617 ГДЗ Атанасян 10-11 класс по геометрии (Геометрия)

Решение #1

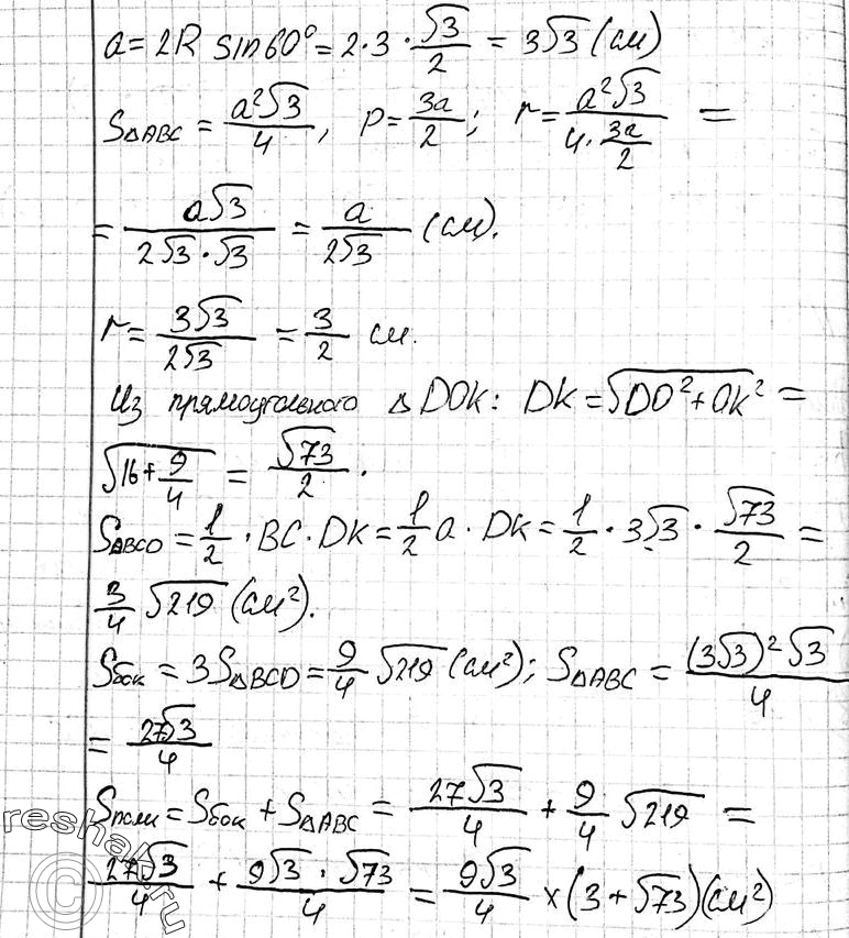
Изображение 617 Высота конуса равна 4 см, а радиус основания равен 3 см. Вычислите площадь полной поверхности правильной л-угольной пирамиды, вписанной в конус*, если: а) n = 3; б)...
Дополнительное изображение
Дополнительное изображение
Дополнительное изображение
Дополнительное изображение

Рассмотрим вариант решения задания из учебника Атанасян, Бутузов 11 класс, Просвещение:
617 Высота конуса равна 4 см, а радиус основания равен 3 см. Вычислите площадь полной поверхности правильной л-угольной пирамиды, вписанной в конус*, если: а) n = 3; б) n = 4; в) n = 6.
*Цитирирование задания со ссылкой на учебник производится исключительно в учебных целях для лучшего понимания разбора решения задания.
*размещая тексты в комментариях ниже, вы автоматически соглашаетесь с пользовательским соглашением