Упр.635 ГДЗ Атанасян 10-11 класс по геометрии (Геометрия)

Решение #1

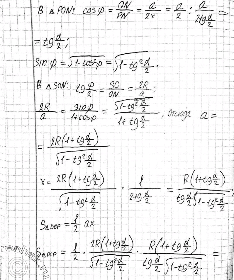
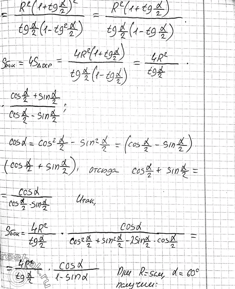
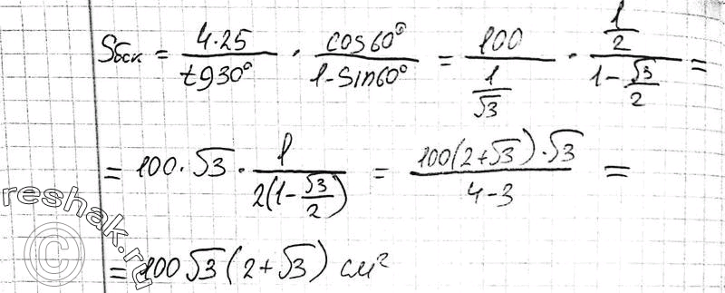
Изображение 635 Около сферы радиуса R описана правильная четырехугольная пирамида, плоский угол при вершине которой равен а.а) Найдите площадь боковой поверхности пирамиды.б)...
Дополнительное изображение
Дополнительное изображение
Дополнительное изображение

Рассмотрим вариант решения задания из учебника Атанасян, Бутузов 11 класс, Просвещение:
635 Около сферы радиуса R описана правильная четырехугольная пирамида, плоский угол при вершине которой равен а.

а) Найдите площадь боковой поверхности пирамиды.

б) Вычислите эту площадь при R = 5 см, а = 60°.
*Цитирирование задания со ссылкой на учебник производится исключительно в учебных целях для лучшего понимания разбора решения задания.
*размещая тексты в комментариях ниже, вы автоматически соглашаетесь с пользовательским соглашением