Упр.641 ГДЗ Атанасян 10-11 класс по геометрии (Геометрия)

Решение #1

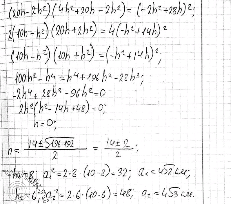
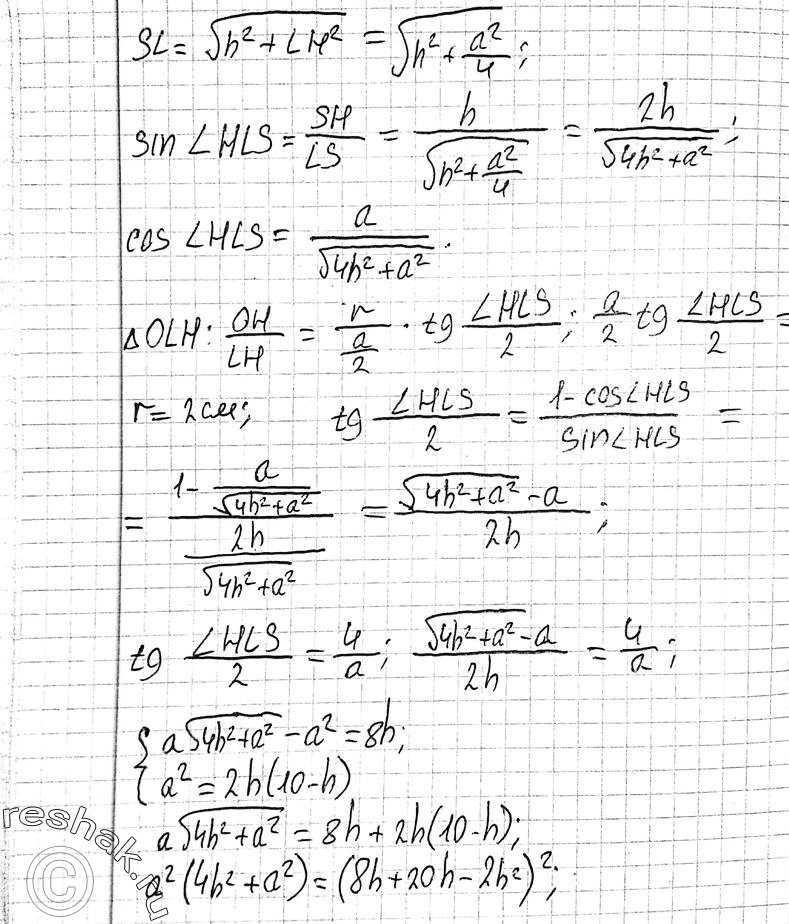
Изображение 641 B правильной четырехугольной пирамиде радиусы вписанной и описанной сфер равны 2 см и 5 см. Найдите сторону основания и высоту...
Дополнительное изображение
Дополнительное изображение

Рассмотрим вариант решения задания из учебника Атанасян, Бутузов 11 класс, Просвещение:
641 B правильной четырехугольной пирамиде радиусы вписанной и описанной сфер равны 2 см и 5 см. Найдите сторону основания и высоту пирамиды.
*Цитирирование задания со ссылкой на учебник производится исключительно в учебных целях для лучшего понимания разбора решения задания.
*размещая тексты в комментариях ниже, вы автоматически соглашаетесь с пользовательским соглашением