Упр.659 ГДЗ Атанасян 10-11 класс по геометрии (Геометрия)
Решение #1
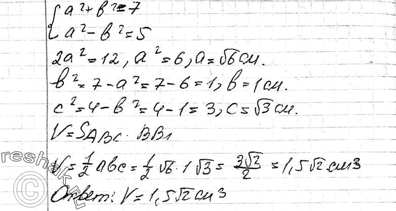
Решение #2

Рассмотрим вариант решения задания из учебника Атанасян, Бутузов 11 класс, Просвещение:
659 Найдите объем прямой призмы ABCAlBlCi, если: а) ZBAC = 120°, AB = 5 см, AC = 3 см и наибольшая из площадей боковых граней равна 35 см2; б) ZABiC = 60°, AB1 = 3, CBi = 2 и двугранный утол с ребром BBi прямой.
*размещая тексты в комментариях ниже, вы автоматически соглашаетесь с пользовательским соглашением