Упр.677 ГДЗ Атанасян 10-11 класс по геометрии (Геометрия)
Решение #1
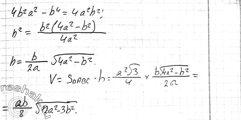
Решение #2

Рассмотрим вариант решения задания из учебника Атанасян, Бутузов 11 класс, Просвещение:
677 Найдите объем наклонной призмы ABCAiB1Cl, если AB = BC = = CA = а, ABB1A1 — ромб, AB1 < BA1, AB1 = b, двугранный угол с ребром AB прямой.
*размещая тексты в комментариях ниже, вы автоматически соглашаетесь с пользовательским соглашением