Упр.688 ГДЗ Атанасян 10-11 класс по геометрии (Геометрия)
Решение #1
Решение #2

Рассмотрим вариант решения задания из учебника Атанасян, Бутузов 11 класс, Просвещение:
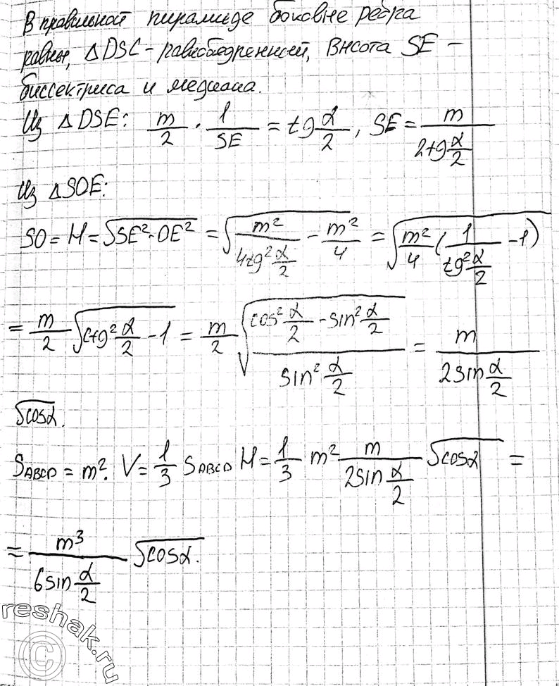
688 Найдите объем правильной четырехугольной пирамиды, если:
а) ее высота равна H, а двугранный угол при основании равен P;
б) сторона основания равна m, а плоский угол при вершине равен а.
*размещая тексты в комментариях ниже, вы автоматически соглашаетесь с пользовательским соглашением