Упр.705 ГДЗ Атанасян 10-11 класс по геометрии (Геометрия)
Решение #1
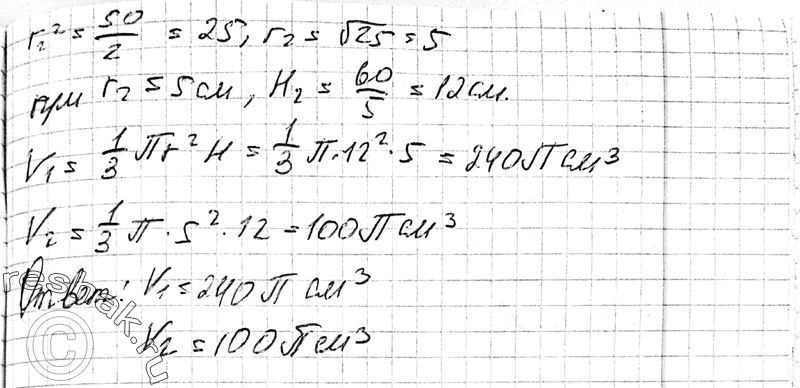
Решение #2

Рассмотрим вариант решения задания из учебника Атанасян, Бутузов 11 класс, Просвещение:
705 Найдите объем конуса, если его образующая равна 13 см, а площадь осевого сечения равна 60 см2.
*размещая тексты в комментариях ниже, вы автоматически соглашаетесь с пользовательским соглашением