Упр.707 ГДЗ Атанасян 10-11 класс по геометрии (Геометрия)
Решение #1
Решение #2

Рассмотрим вариант решения задания из учебника Атанасян, Бутузов 11 класс, Просвещение:
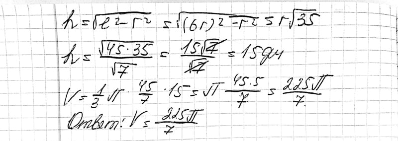
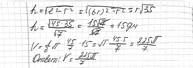
707 Площадь полной поверхности конуса равна 45л дм2. Развернутая на плоскость боковая поверхность конуса представляет собой сектор с углом в 60°. Найдите объем конуса.
*размещая тексты в комментариях ниже, вы автоматически соглашаетесь с пользовательским соглашением