Упр.1 ГДЗ Колягин Ткачёва 8 класс (Алгебра)
Решение #1

Рассмотрим вариант решения задания из учебника Колягин, Ткачёва, Фёдорова 8 класс, Просвещение:
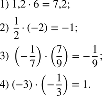
1. Вычислить устно:
1) 1,2•6;
2) 1/2•(-2);
3) (-1/7)•(7/9);
4) (-3)•(-1/3).
*размещая тексты в комментариях ниже, вы автоматически соглашаетесь с пользовательским соглашением