Упр.10.16 ГДЗ Мордкович Семенов 9 класс (Алгебра)
Решение #1

Рассмотрим вариант решения задания из учебника Мордкович, Семенов, Александрова 9 класс, Бином:
10.16. Решите неравенство:
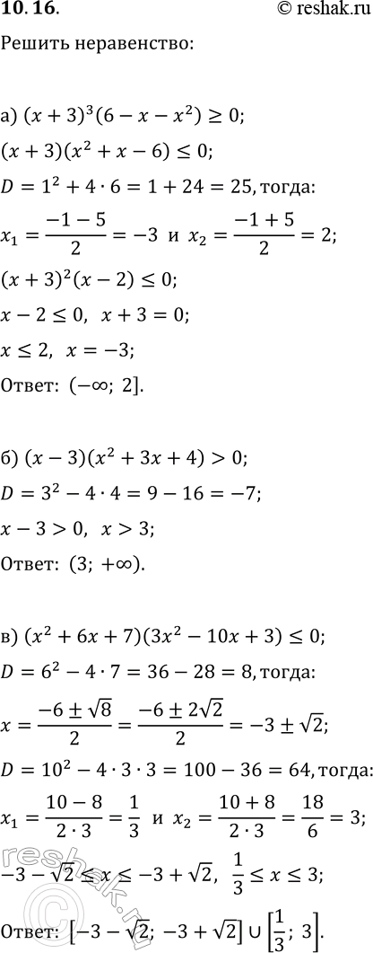
а) (x+3)^3(6-x-x^2)?0;
б) (x-3)(x^2+3x+4)>0;
в) (x^2+6x+7)(3x^2-10x+3)?0;
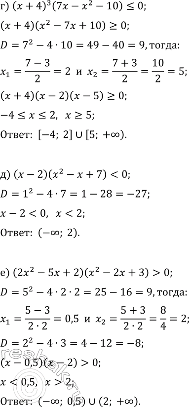
г) (x+4)^3(7x-x^2-10)?0;
д) (x-2)(x^2-x+7)<0;
е) (2x^2-5x+2)(x^2-2x+3)>0.
*размещая тексты в комментариях ниже, вы автоматически соглашаетесь с пользовательским соглашением