Упр.1000 ГДЗ Колягин Ткачёва 10 класс (Алгебра)
Решение #1
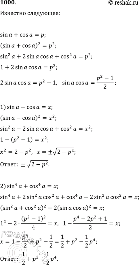
Решение #2

Рассмотрим вариант решения задания из учебника Колягин, Ткачёва, Фёдорова 10 класс, Просвещение:
1000. Известно, что sina + cosa =р. Найти:
1) sina-cosa; 2) sin^4a + cos^4a.
*размещая тексты в комментариях ниже, вы автоматически соглашаетесь с пользовательским соглашением