Упр.1006 ГДЗ Никольский Потапов 9 класс (Алгебра)
Решение #1
Рассмотрим вариант решения задания из учебника Никольский, Потапов 9 класс, Просвещение:
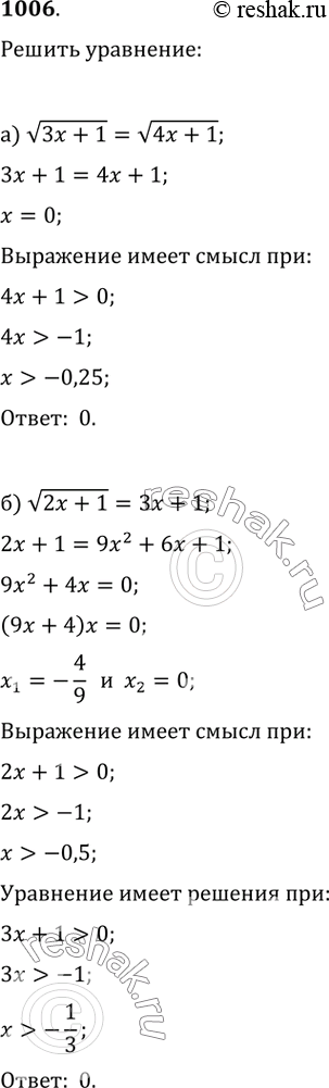
1006. Решите уравнение:
а) v(3x+1)=v(4x+1); б) v(2x+1)=3x+1;
в) v((x+2)/2)=x+1; г) v((x+1)/3)=x-1;
д) x-5vx-6=0; е) x-6vx-7=0.
*размещая тексты в комментариях ниже, вы автоматически соглашаетесь с пользовательским соглашением