Упр.103 ГДЗ Никольский Потапов 9 класс (Алгебра)

Решение #1

Изображение 103. Решите неравенство:а) 4x^2+20x+250в) 49x^2+14x+1>0г) 25x^2-10x+10е)...
Дополнительное изображение

Решение #2

Изображение 103. Решите неравенство:а) 4x^2+20x+250в) 49x^2+14x+1>0г) 25x^2-10x+10е)...
Дополнительное изображение

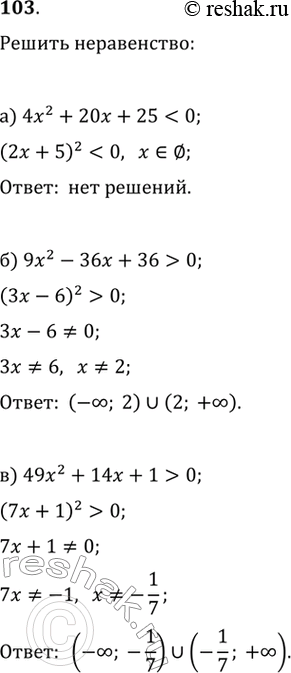
Рассмотрим вариант решения задания из учебника Никольский, Потапов 9 класс, Просвещение:
103. Решите неравенство:
а) 4x^2+20x+25<0
б) 9x^2-36x+36>0
в) 49x^2+14x+1>0
г) 25x^2-10x+1<0
д) 2x^2+3x+11/8>0
е) 9х^2-10x+27/9<0
*Цитирирование задания со ссылкой на учебник производится исключительно в учебных целях для лучшего понимания разбора решения задания.
*размещая тексты в комментариях ниже, вы автоматически соглашаетесь с пользовательским соглашением