Упр.106 ГДЗ Дорофеев Суворова 9 класс (Алгебра)
Решение #1

Рассмотрим вариант решения задания из учебника Дорофеев, Суворова, Бунимович 9 класс, Просвещение:
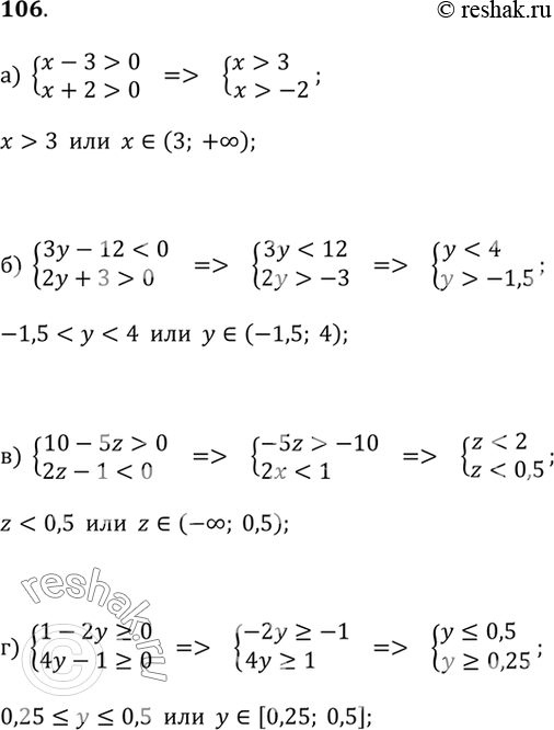
106. Решите систему неравенств (106—108).
а) Система x-3>0 и x+2>0;
б) Система 3y-12<0 и 2y+3>0;
в) Система 10-5z>0 и 2z-1<0;
г) Система 1-2y?0 и 4y-1?0;
д) Система 2-6x>0 и 2-4x<0;
е) Система 2+3z<0 и 1+3z<0;
*размещая тексты в комментариях ниже, вы автоматически соглашаетесь с пользовательским соглашением