Упр.107 ГДЗ Дорофеев Суворова 9 класс (Алгебра)
Решение #1

Рассмотрим вариант решения задания из учебника Дорофеев, Суворова, Бунимович 9 класс, Просвещение:
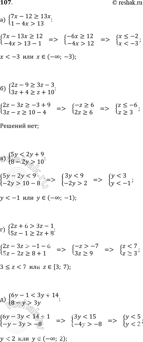
107. Решите систему неравенств (106—108).
а) Система 7x-12?13x и 1-4x>13;
б) Система 2z-9?3z-3 и 3z+4?z+10;
в) Система 5y<2y+9 и 8-2y>10;
г) Система 2z+6>3z-1 и 5z-1?2z+8;
д) Система 6y-1<3y+14 и 8-y>3y;
е) Система 6-4x?4-3x и 7-3x?6-4x;
ж) Система 3z+2?7+4z и 4z-1<2z+7;
з) Система 2y+8?y+4 и 2y+8?y-1;
*размещая тексты в комментариях ниже, вы автоматически соглашаетесь с пользовательским соглашением