Упр.108 ГДЗ Дорофеев Суворова 8 класс (Алгебра)
Решение #1

Рассмотрим вариант решения задания из учебника Дорофеев, Суворова, Бунимович 8 класс, Просвещение:
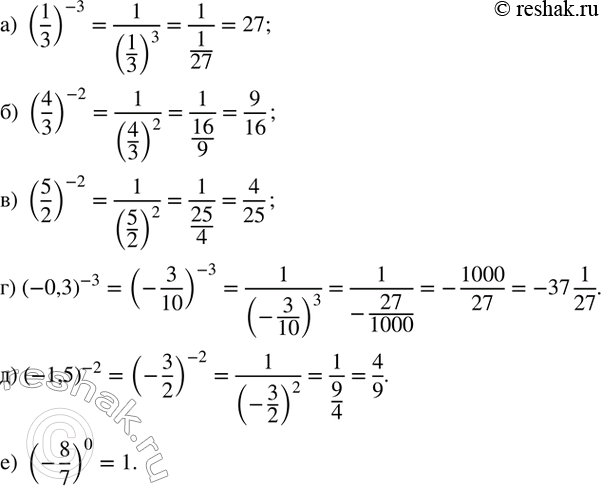
108. Найдите значение выражения:
а) (1/3)^(-3);
б) (4/3)^(-2);
в) (5/2)^(-2);
г) (-0,3)^(-3);
д) (-1,5)^(-2);
е) (-8/7)^0.
*размещая тексты в комментариях ниже, вы автоматически соглашаетесь с пользовательским соглашением