Упр.108 ГДЗ Никольский Потапов 8 класс (Алгебра)
Решение #1

Рассмотрим вариант решения задания из учебника Никольский, Потапов 8 класс, Просвещение:
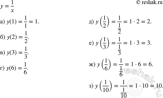
108 Дана функция у = —. Вычислите:
а) у (1);
б) у (2);
в) у (3);
г) у (6);
д) y (1/2);
е) y (1/3);
ж) y (1/6);
з) y (1/10).
*размещая тексты в комментариях ниже, вы автоматически соглашаетесь с пользовательским соглашением