Упр.1094 ГДЗ Никольский Потапов 9 класс (Алгебра)

Решение #1

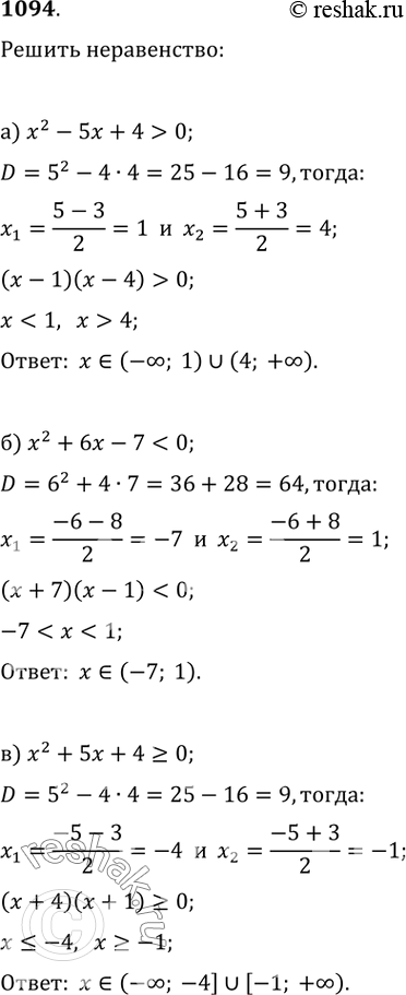
Изображение 1094. Решите неравенство:а) x^2-5x+4>0;   б) x^2+6x-70;   е)...
Дополнительное изображение

Рассмотрим вариант решения задания из учебника Никольский, Потапов 9 класс, Просвещение:
1094. Решите неравенство:
а) x^2-5x+4>0; б) x^2+6x-7<0;
в) x^2+5x+4?0; г) x^2-6x-7?0;
д) 3x^2-2x-5>0; е) 2x^2+3x+1<0.
*Цитирирование задания со ссылкой на учебник производится исключительно в учебных целях для лучшего понимания разбора решения задания.
*размещая тексты в комментариях ниже, вы автоматически соглашаетесь с пользовательским соглашением