Упр.11 ГДЗ Мерзляк 8 класс (Алгебра)
Решение #1
Решение #2
Решение #3

Рассмотрим вариант решения задания из учебника Мерзляк, Полонская, Якир 8 класс, Вентана-Граф:
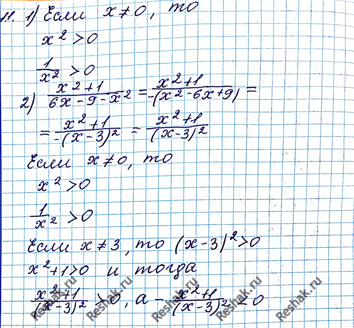
11. Докажите, что при всех допустимых значениях переменной х значение дроби:
1) 1/x2 положительное;
2) (x2+1)/(6x-9-x2) отрицательное.
*размещая тексты в комментариях ниже, вы автоматически соглашаетесь с пользовательским соглашением