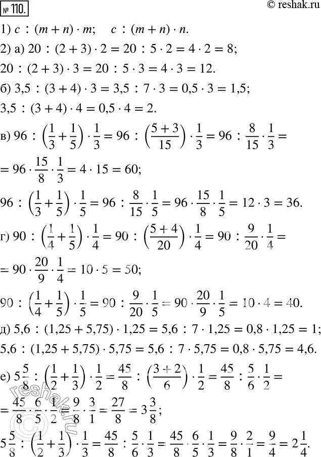
Упр.110 ГДЗ Муравин 6 класс (Математика)
Решение #1

Рассмотрим вариант решения задания из учебника Муравин, Муравина 6 класс, Дрофа:
110. 1) Объясните, как разделить число c в отношении m :n, где m и n - натуральные числа.
2) Разделите число:
а) 20 в отношении 2 :3;
б) 3,5 в отношении 3 :4;
в) 96 в отношении 1/3 :1/5;
г) 90 в отношении 1/4 :1/5;
д) 5,6 в отношении 1,25 :5,75;
е) 5 5/8 в отношении 1/2 :1/3.
*размещая тексты в комментариях ниже, вы автоматически соглашаетесь с пользовательским соглашением