Упр.1106 ГДЗ Макарычев Миндюк 9 класс (Углубленный) (Алгебра)
Решение #1

Рассмотрим вариант решения задания из учебника Макарычев, Миндюк, Нешков 9 класс, Просвещение:
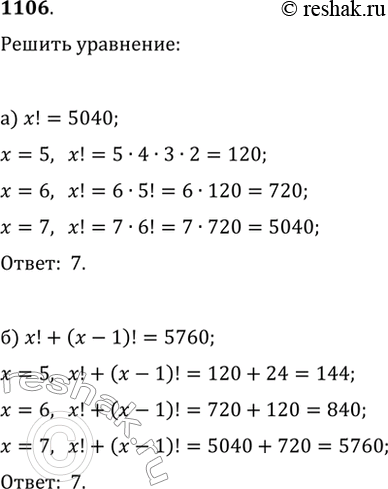
1106. Решите уравнение: а) x!=5040; б) x!+(x-1)!=5760.
*размещая тексты в комментариях ниже, вы автоматически соглашаетесь с пользовательским соглашением