Упр.116 ГДЗ Колягин Ткачёва 7 класс (Алгебра)
Решение #1

Рассмотрим вариант решения задания из учебника Колягин, Ткачёва, Фёдорова 7 класс, Просвещение:
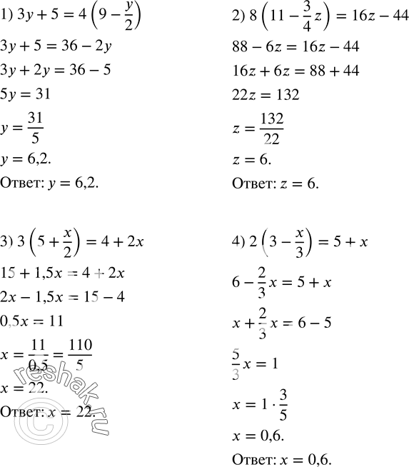
116. Решить уравнение:
1) 3y+5=4(9-y/2);
2) 8(11-3/4 z)=16z-44;
3) 3(5+x/2)=4+2x;
4) 2(3-x/3)=5+x.
*размещая тексты в комментариях ниже, вы автоматически соглашаетесь с пользовательским соглашением