Упр.1202 ГДЗ Мерзляк Полонский 7 класс (Алгебра)
Решение #1

Рассмотрим вариант решения задания из учебника Мерзляк, Полонская, Якир 7 класс, Вентана-Граф:
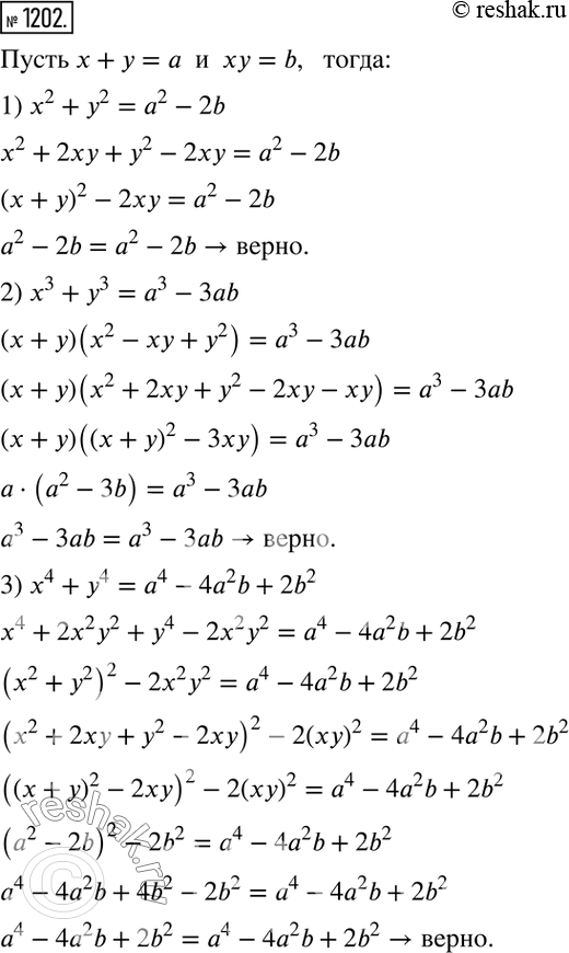
1202. Пусть х + у = а, ху = b. Докажите, что:
1) х2 + у2 = а2 - 2b;
2) х3 + y3 = а3 - 3аb;
3) х4 + у4 = a4 - 4а2b + 2b2.
*размещая тексты в комментариях ниже, вы автоматически соглашаетесь с пользовательским соглашением