Упр.122 ГДЗ Дорофеев Суворова 7 класс (Алгебра)
Решение #1

Рассмотрим вариант решения задания из учебника Дорофеев, Суворова, Бунимович 10-11 класс, Просвещение:
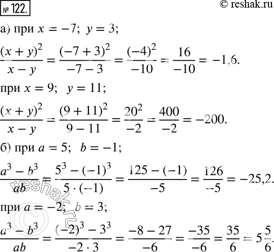
122 Найдите значение выражения при заданных значениях переменных:
а) (x+y)2/(x-y) при х = -7, у = 3; при х = 9, у =11;
б) (a3-b3)/ab при a = 5, b = -1; при а = -2, b = 3.
*размещая тексты в комментариях ниже, вы автоматически соглашаетесь с пользовательским соглашением