Упр.1245 ГДЗ Никольский Потапов 9 класс (Алгебра)

Решение #1

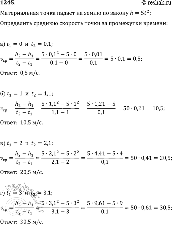
Изображение 1245. Материальная точка падает на землю по закону h=5t^2 (h измеряется в метрах, t — в секундах). Определите приближённо среднюю скорость точки за промежутки времени...

Рассмотрим вариант решения задания из учебника Никольский, Потапов 9 класс, Просвещение:
1245. Материальная точка падает на землю по закону h=5t^2 (h измеряется в метрах, t — в секундах). Определите приближённо среднюю скорость точки за промежутки времени между:
a) t_1=0 и t_2=0,1; б) t_1=1 и t_2=1,1;
в) t_1=0 и t_2=2,1; г) t_1=3 и t_2=3,1.
*Цитирирование задания со ссылкой на учебник производится исключительно в учебных целях для лучшего понимания разбора решения задания.
*размещая тексты в комментариях ниже, вы автоматически соглашаетесь с пользовательским соглашением