Упр.125 ГДЗ Дорофеев Суворова 9 класс (Алгебра)
Решение #1

Рассмотрим вариант решения задания из учебника Дорофеев, Суворова, Бунимович 9 класс, Просвещение:
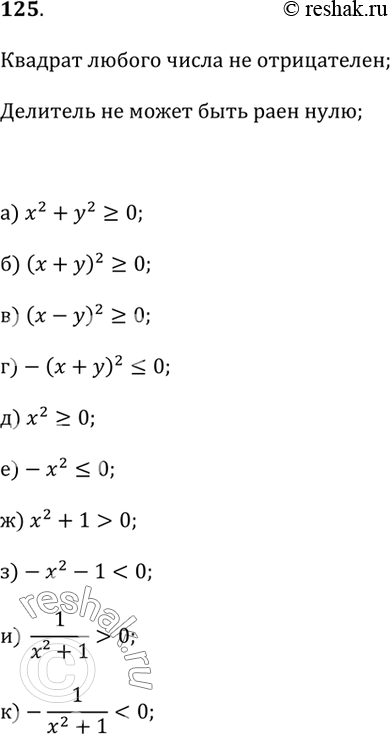
125. Поставьте вместо многоточия такой знак неравенства, чтобы получившееся утверждение было верным при любых значениях переменных:
а) x^2 + y^2 ... 0;
б) (x + y)^2 ... 0;
в) (x - y)^2 ... 0;
г) -(x + y)^2 ... 0;
д) x^2 ... 0;
е) -x^2 ... 0;
ж) x^2 + 1 ... 0;
з) -x^2 - 1 ... 0;
и) 1 / (x^2 + 1) ... 0;
к) -1 / (x^2 + 1) ... 0.
*размещая тексты в комментариях ниже, вы автоматически соглашаетесь с пользовательским соглашением