Упр.128 ГДЗ Колягин Ткачёва 8 класс (Алгебра)
Решение #1

Рассмотрим вариант решения задания из учебника Колягин, Ткачёва, Фёдорова 8 класс, Просвещение:
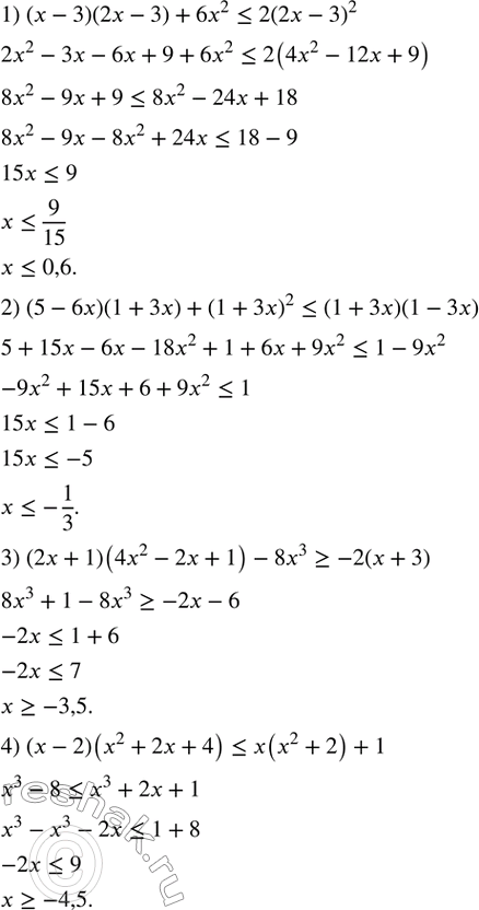
128. Решить неравенство:
1) (x-3)(2x-3)+6x^2?2(2x-3)^2;
2) (5-6x)(1+3x)+(1+3x)^2?(1+3x)(1-3x);
3) (2x+1)(4x^2-2x+1)-8x^3?-2(x+3);
4) (x-2)(x^2+2x+4)?x(x^2+2)+1.
*размещая тексты в комментариях ниже, вы автоматически соглашаетесь с пользовательским соглашением