Упр.128 ГДЗ Мерзляк 8 класс (Алгебра)
Решение #1
Решение #2
Решение #3

Рассмотрим вариант решения задания из учебника Мерзляк, Полонская, Якир 8 класс, Вентана-Граф:
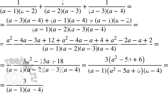
128. Упростите выражение:
1/((a-1)(a-2)) + 1/((a-2)(a-3)) + 1/((a-3)(a-4)).
*размещая тексты в комментариях ниже, вы автоматически соглашаетесь с пользовательским соглашением