Упр.13 ГДЗ Мерзляк 8 класс (Алгебра)
Решение #1
Решение #2

Рассмотрим вариант решения задания из учебника Мерзляк, Полонская, Якир 8 класс, Вентана-Граф:
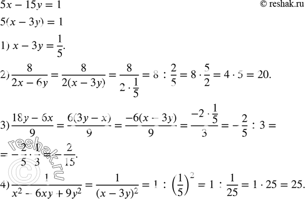
13. Известно, что 5х - 15у = 1. Найдите значение выражения:
1) x-3y;
2) 8/(2x-6y);
3) (18y-6x)/9;
2) 1/(х2 - 6xy + 9у2).
*размещая тексты в комментариях ниже, вы автоматически соглашаетесь с пользовательским соглашением