Упр.13.22 ГДЗ Мерзляк Поляков 8 класс (Алгебра)
Решение #1

Рассмотрим вариант решения задания из учебника Мерзляк, Поляков 8 класс, Вентана-Граф:
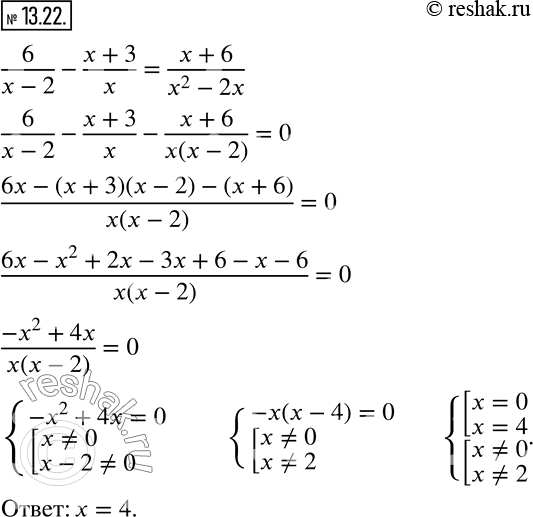
13.22. Решите уравнение:
6/(x-2)-(x+3)/x=(x+6)/(x^2-2x).
*размещая тексты в комментариях ниже, вы автоматически соглашаетесь с пользовательским соглашением