Упр.13.35 ГДЗ Мерзляк Поляков 7 класс (Алгебра)
Решение #1

Рассмотрим вариант решения задания из учебника Мерзляк, Поляков 7 класс, Вентана-Граф:
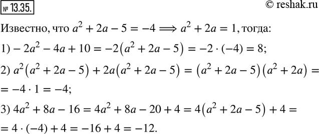
13.35. Значение переменной a таково, что значение выражения a^2 +2a-5 равно -4. Найдите значение выражения:
1)-2a^2-4a+10;
2) a^2 (a^2+2a-5)+2a(a^2+2a-5);
3) 4a^2+8a-16.
*размещая тексты в комментариях ниже, вы автоматически соглашаетесь с пользовательским соглашением