Упр.134 ГДЗ Бунимович Кузнецова 6 класс (Математика)

Решение #1

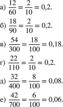
Изображение 134 Представьте дробь в виде десятичной:а) 12/60;б) 18/90;в) 54/300;г) 22/110;д) 32/400; е) 42/700. Образец. 48/300 = 16/100 = 0,16....

Рассмотрим вариант решения задания из учебника Бунимович, Кузнецова, Минаева 6 класс, Просвещение:
134 Представьте дробь в виде десятичной:
а) 12/60;
б) 18/90;
в) 54/300;
г) 22/110;
д) 32/400;
е) 42/700.
Образец. 48/300 = 16/100 = 0,16.
*Цитирирование задания со ссылкой на учебник производится исключительно в учебных целях для лучшего понимания разбора решения задания.
*размещая тексты в комментариях ниже, вы автоматически соглашаетесь с пользовательским соглашением