Упр.136 ГДЗ Мерзляк 9 класс (Алгебра)
Решение #1
Решение #2

Рассмотрим вариант решения задания из учебника Мерзляк, Полонская, Якир 9 класс, Вентана-Граф:
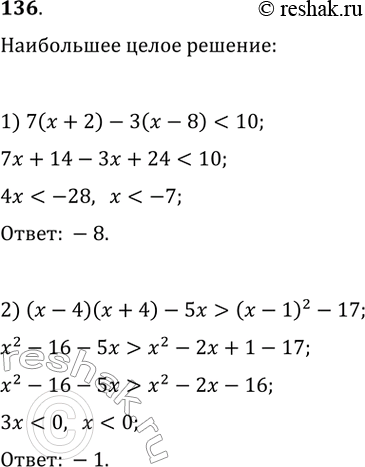
136. Найдите наибольшее целое решение неравенства:
1) 7(x + 2) - 3(х - 8) < 10;
2) (x - 4)(х + 4) - 5х > (x - 1)^2 - 17.
*размещая тексты в комментариях ниже, вы автоматически соглашаетесь с пользовательским соглашением