Упр.139 ГДЗ Мерзляк Полонский 7 класс (Алгебра)
Решение #1
Решение #2

Рассмотрим вариант решения задания из учебника Мерзляк, Полонская, Якир 7 класс, Вентана-Граф:
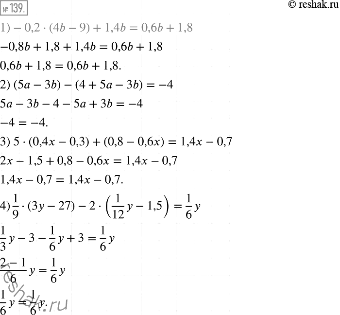
139. Докажите тождество:
1) -0,2(4b - 9) + 1,4b = 0,6b + 1,8;
2) (5а - 3b) - (4 + 5а - 3b) = -4;
3) 5(0,4x - 0,3) + (0,8-0,6х) = 1,4х-0,7;
4) 1/9(3y-27)-2(1/12*y-1,5)=1/6*y.
*размещая тексты в комментариях ниже, вы автоматически соглашаетесь с пользовательским соглашением