Упр.139 ГДЗ Мерзляк 8 класс (Алгебра)
Решение #1
Решение #2
Решение #3

Рассмотрим вариант решения задания из учебника Мерзляк, Полонская, Якир 8 класс, Вентана-Граф:
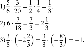
139. Найдите значение произведения:
1) 5/6 * 3/20;
2) 6 * 7/18;
3) 3/8 * (-2 2/3).
*размещая тексты в комментариях ниже, вы автоматически соглашаетесь с пользовательским соглашением