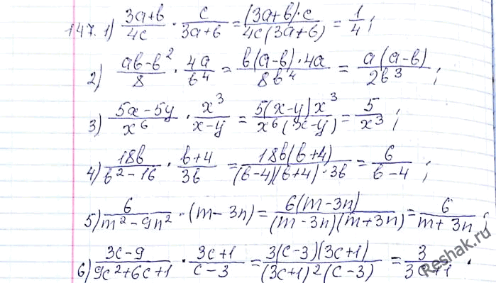
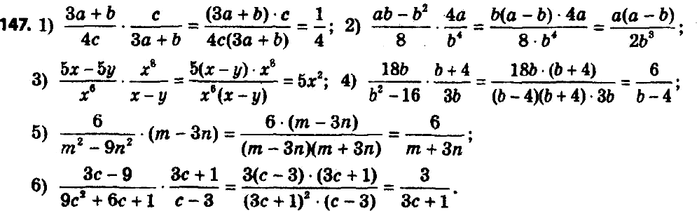
Упр.147 ГДЗ Мерзляк 8 класс (Алгебра)
Решение #1
Решение #2
Решение #3

Рассмотрим вариант решения задания из учебника Мерзляк, Полонская, Якир 8 класс, Вентана-Граф:
147. Выполните умножение:
1) (3a+b)/4c * c/(3a+b);
2) (ab-b2)/8 * 4a/b4;
*размещая тексты в комментариях ниже, вы автоматически соглашаетесь с пользовательским соглашением