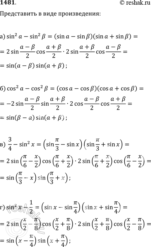
Упр.1481 ГДЗ Макарычев Миндюк 9 класс (Углубленный) (Алгебра)
Решение #1

Рассмотрим вариант решения задания из учебника Макарычев, Миндюк, Нешков 9 класс, Просвещение:
1481. Преобразуйте в произведение:
а) sin^2(?)-sin^2(?); в) 3/4-sin^2(x);
б) cos^2(?)-cos^2(?); г) sin^2(x)-1/2.
*размещая тексты в комментариях ниже, вы автоматически соглашаетесь с пользовательским соглашением