Упр.1503 ГДЗ Макарычев Миндюк 9 класс (Углубленный) (Алгебра)
Решение #1

Рассмотрим вариант решения задания из учебника Макарычев, Миндюк, Нешков 9 класс, Просвещение:
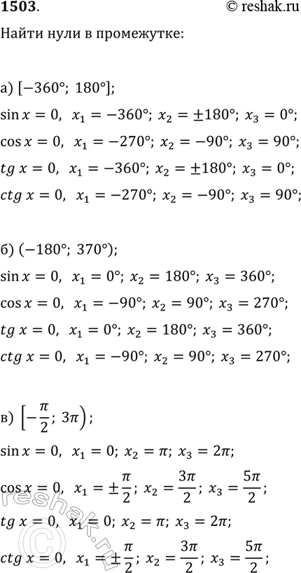
1503. Найдите нули тригонометрических функций в промежутке:
а) [-360°; 180°]; в) [-?/2; 3?); д) (-350°; 350°);
б) (-180°; 370°); г) (0; 4?]; е) [-7?/3; 7?/3].
*размещая тексты в комментариях ниже, вы автоматически соглашаетесь с пользовательским соглашением