Упр.1510 ГДЗ Макарычев Миндюк 9 класс (Углубленный) (Алгебра)
Решение #1

Рассмотрим вариант решения задания из учебника Макарычев, Миндюк, Нешков 9 класс, Просвещение:
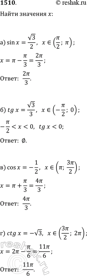
1510. При каком значении х в промежутке:
а) (?/2; ?) верно равенство sin(x)=v3/2;
б) (-?/2; 0) верно равенство tg(x)=v3/3;
в) (?; 3?/2) верно равенство cos(x)=-1/2;
г) (3?/2; 2?) верно равенство ctg(x)=-v3?
*размещая тексты в комментариях ниже, вы автоматически соглашаетесь с пользовательским соглашением