Упр.152 ГДЗ Никольский Потапов 9 класс (Алгебра)

Решение #1

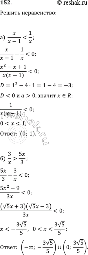
Изображение 152.а)  x/(x-1)5x/3  в) ...
Дополнительное изображение

Решение #2

Изображение 152.а)  x/(x-1)5x/3  в) ...
Дополнительное изображение

Рассмотрим вариант решения задания из учебника Никольский, Потапов 9 класс, Просвещение:
152.
а) x/(x-1)<1/x
б) 3/x>5x/3
в) (x+1)/(x-1)<3/x
г) 2/x>(x-2)/(3-x)
*Цитирирование задания со ссылкой на учебник производится исключительно в учебных целях для лучшего понимания разбора решения задания.
*размещая тексты в комментариях ниже, вы автоматически соглашаетесь с пользовательским соглашением