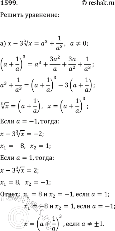
Упр.1599 ГДЗ Макарычев Миндюк 9 класс (Углубленный) (Алгебра)
Решение #1

Рассмотрим вариант решения задания из учебника Макарычев, Миндюк, Нешков 9 класс, Просвещение:
1599. Решите относительно х уравнение:
а) x-3x^(1/3)=a^3+1/a^3, где a?0;
б) ((a+x)^2)^(1/3)-15((a-x)^2)^(1/3)-2(a^2-x^2)^(1/3)=0.
*размещая тексты в комментариях ниже, вы автоматически соглашаетесь с пользовательским соглашением