Упр.16.27 ГДЗ Мерзляк Поляков 8 класс (Алгебра)
Решение #1

Рассмотрим вариант решения задания из учебника Мерзляк, Поляков 8 класс, Вентана-Граф:
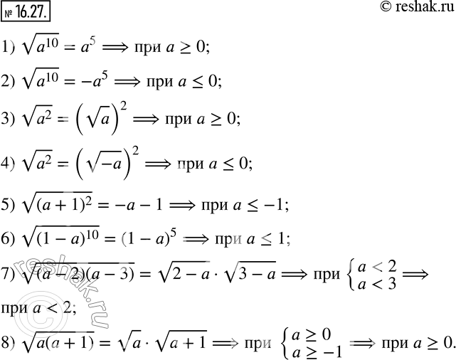
16.27. При каких значениях a выполняется равенство:
1) v(a^10 )=a^5;
2) v(a^10 )=-a^5;
3) v(a^2 )=(va)^2;
4) v(a^2 )=(v(-a))^2;
5) v((a+1)^2 )=-a-1;
6) v((1-a)^10 )=(1-a)^5;
7) v((a-2)(a-3) )=v(2-a)•v(3-a);
8) v(a(a+1) )=va•v(a+1)?
*размещая тексты в комментариях ниже, вы автоматически соглашаетесь с пользовательским соглашением