Упр.17.11 ГДЗ Мерзляк Поляков 7 класс (Алгебра)
Решение #1

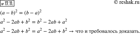
Рассмотрим вариант решения задания из учебника Мерзляк, Поляков 7 класс, Вентана-Граф:
17.11. Докажите тождество (a-b)^2=(b-a)^2.
*размещая тексты в комментариях ниже, вы автоматически соглашаетесь с пользовательским соглашением