Упр.17.11 ГДЗ Мерзляк Поляков 8 класс (Алгебра)
Решение #1

Рассмотрим вариант решения задания из учебника Мерзляк, Поляков 8 класс, Вентана-Граф:
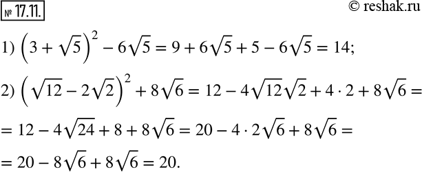
17.11. Найдите значение выражения:
1) (3+v5)^2-6v5; 2) (v12-2v2)^2+8v6.
*размещая тексты в комментариях ниже, вы автоматически соглашаетесь с пользовательским соглашением