Упр.17.42 ГДЗ Мерзляк Поляков 8 класс (Алгебра)
Решение #1

Рассмотрим вариант решения задания из учебника Мерзляк, Поляков 8 класс, Вентана-Граф:
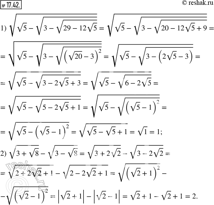
17.42. Упростите выражение:
1) v(v5-v(3-v(29-12v5) ) ) ;
2) v(3+v8) -v(3-v8) .
*размещая тексты в комментариях ниже, вы автоматически соглашаетесь с пользовательским соглашением